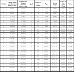
The Sequoia Tree collection represents the next generation in giant commercial Christmas Tree construction. The first commercial tower tree to receive the RSE (Registered Structural Engineer) stamp of approval and making it the safest tree on the market. The Sequoia features self shaping branches that “spring back” to their original shape reducing fluffing time and ensuring your tree looks fantastic each year.Â
All Sequoias have two-tone UV treated foliage with premium tips that are double the industry standard. The tree comes pre-lit with warm white LED miniature lights or LED C7 bulbs, providing an energy savings of up to 90% over traditional incandescent bulbs.
*Note – Sequoia Trees with incandescent lights are priced at 10% less
For giant trees 72′-100′ and RGB Animated Sequoia Trees, please call (800) 617-2430 for information and pricing.

























Reviews
There are no reviews yet.